Free Access

Fig. 14

thumbnail

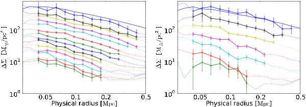
Measured ΔΣ(ξ) profiles of galaxies binned by r-band absolute magnitude. Left panel: LSST-like survey, with r < 26 in apparent magnitude. Right panel: DES-like survey, with r < 22 in apparent magnitude. Error bars show the data used for the analysis later on, the range was derive from our results in Table 5. The solid blue line without error bars is the measurement for the host cluster shown as a visual reference.

This figure is made of several images, please see below:

Current usage metrics show cumulative count of Article Views (full-text article views including HTML views, PDF and ePub downloads, according to the available data) and Abstracts Views on Vision4Press platform.

Data correspond to usage on the plateform after 2015. The current usage metrics is available 48-96 hours after online publication and is updated daily on week days.

Initial download of the metrics may take a while.