Free Access

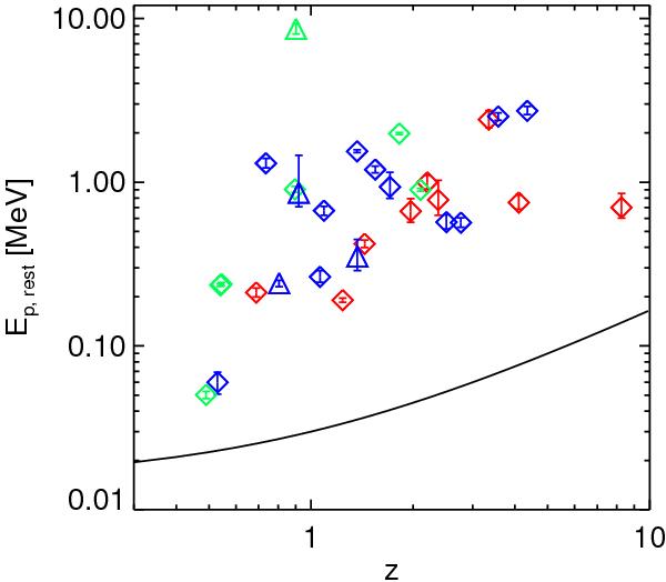
Fig. 10

thumbnail

Testing the cosmic evolution of Ep,rest for long (diamonds) and short (triangles) GRBs. The solid line indicates the redshift corrected lower limit for GBM to measure Ep which is currently estimated to be  ~15 keV in the observer frame (see Table 1). Bursts with high (green), intermediate (blue) and low (red) peak photon flux (in ph cm-2 s-1) are labeled.

Current usage metrics show cumulative count of Article Views (full-text article views including HTML views, PDF and ePub downloads, according to the available data) and Abstracts Views on Vision4Press platform.

Data correspond to usage on the plateform after 2015. The current usage metrics is available 48-96 hours after online publication and is updated daily on week days.

Initial download of the metrics may take a while.