Free Access

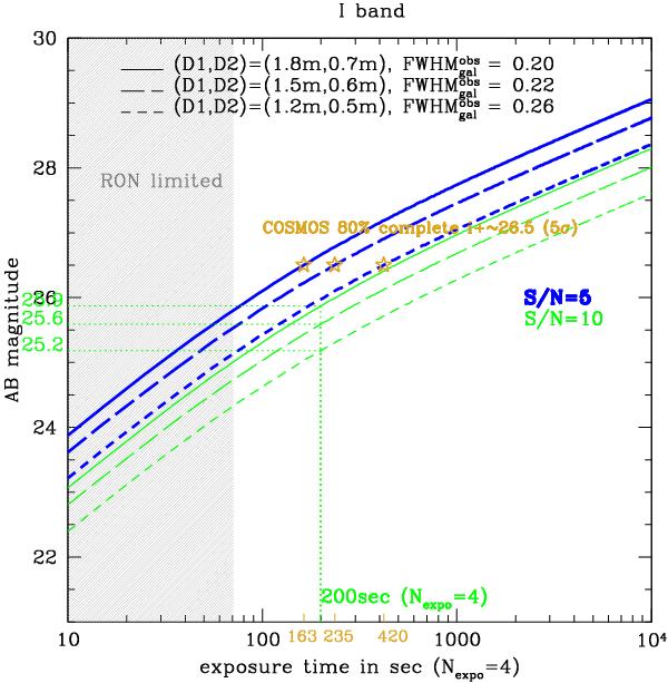
Fig. 1

thumbnail

IAB magnitude as a function of exposure time for mirror diameters of 1.2 m, 1.5 m, and 1.8 m using a pixel size of respectively 0.19′′, 0.15′′, and 0.12′′ and a filter resolution of 3.2. The magnitude is calculated for four exposures (Nexpo = 4) assuming an exposure time by exposure written on the axis, a RON of and a dark current of . All parameters values are listed in the Appendix Table A.1. Magnitudes are calculated inside a circular aperture of 1.4  ×  FWHM.

Current usage metrics show cumulative count of Article Views (full-text article views including HTML views, PDF and ePub downloads, according to the available data) and Abstracts Views on Vision4Press platform.

Data correspond to usage on the plateform after 2015. The current usage metrics is available 48-96 hours after online publication and is updated daily on week days.

Initial download of the metrics may take a while.