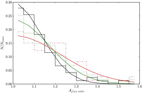
Fig. 12

Comparison of the normalized Aflux ratio distribution between our H i refined sample (black solid histogram) and 1) Bournaud et al. (2005) (red dotted-dashed histogram); 2) a combined sample including H i data in Bournaud et al. (2005), Matthews et al. (1998) and Haynes et al. (1998) excluding CIG galaxies (green dotted line). Solid curves are the half-Gaussian curves fitted to each distribution. See Table 3 for a comparison of the σ’s of each half-Gaussian curve.
Current usage metrics show cumulative count of Article Views (full-text article views including HTML views, PDF and ePub downloads, according to the available data) and Abstracts Views on Vision4Press platform.
Data correspond to usage on the plateform after 2015. The current usage metrics is available 48-96 hours after online publication and is updated daily on week days.
Initial download of the metrics may take a while.