Free Access
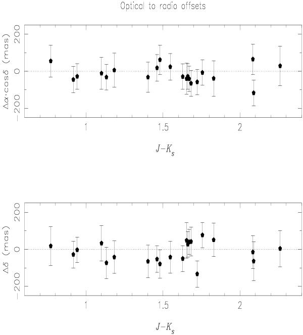
Fig. 5

Optical (observed) minus radio positions of the sources listed in Table 1 (both imagers) as a function of their J − Ks colour index (Col. 9 of the same table). The error bars are given by the two last columns of Table 1. For the sources 0743 − 673 and 0754 + 100 only the results from the WFI are considered.
Current usage metrics show cumulative count of Article Views (full-text article views including HTML views, PDF and ePub downloads, according to the available data) and Abstracts Views on Vision4Press platform.
Data correspond to usage on the plateform after 2015. The current usage metrics is available 48-96 hours after online publication and is updated daily on week days.
Initial download of the metrics may take a while.