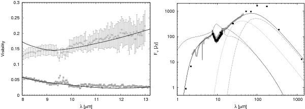
Fig. 6

Left: comparison of the best-fit RADMC model (dashed black line 40 m baseline, solid black line 90 m baseline) for the visibilities of NGC 2264 IRS 1 with the MIDI visibilities (rectangulars 90 m baseline, crosses 40 m baseline). Right: comparison of the best-fit RADMC model for the spectrum of NGC 2264 IRS 1 with the ISO spectrum (gray line), the MIDI spectrum (black crosses), and the data points from Table 1 (black rectangulars). The dashed black line is the RADMC model without foreground extinction, the dotted black line the model with a foreground extinction of 27 mag, and the solid black line the RADMC model with extinction and two additional blackbody components with temperatures of 55 K (gray dash-dotted line) and 120 K (gray dotted line).
Current usage metrics show cumulative count of Article Views (full-text article views including HTML views, PDF and ePub downloads, according to the available data) and Abstracts Views on Vision4Press platform.
Data correspond to usage on the plateform after 2015. The current usage metrics is available 48-96 hours after online publication and is updated daily on week days.
Initial download of the metrics may take a while.