Free Access

Fig. 3

thumbnail

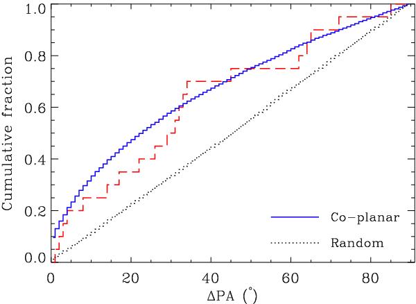
The difference in disk and binary PAs presented in Table 2 (red dashed). This is compared to the co-planar model with a constant eccentricity of 0.1 (blue solid) and a distribution generated by assuming the two angles are randomly aligned (black dotted). Note that ΔPA refers to the difference between binary and disk position angle (i.e. accounting for the 90° offset between spectropolarimetric signatures and disks).

Current usage metrics show cumulative count of Article Views (full-text article views including HTML views, PDF and ePub downloads, according to the available data) and Abstracts Views on Vision4Press platform.

Data correspond to usage on the plateform after 2015. The current usage metrics is available 48-96 hours after online publication and is updated daily on week days.

Initial download of the metrics may take a while.