Free Access

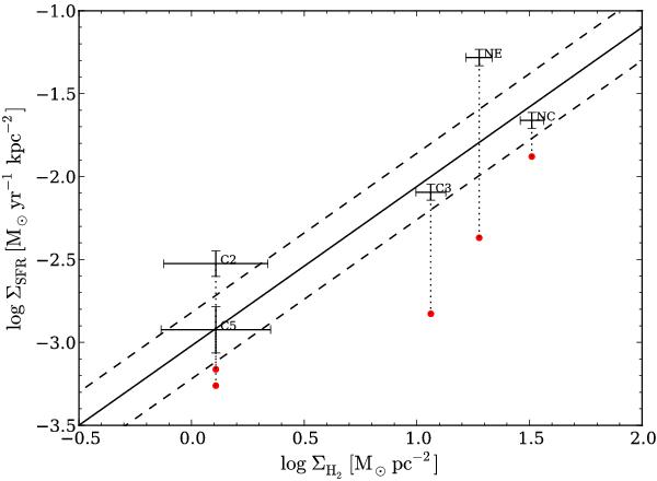
Fig. 5

thumbnail

SFR surface density versus the molecular hydrogen surface density. The points with the 3-σ error bars represent pointings in the Arp 158 system with the SFR derived from the FUV + 24 μm relation, and the red circles adopt the SFR derived from the fit of the SED assuming the burst has the extinction calculated in Table 5. The solid black line represents the Schmidt-Kennicutt law for molecular hydrogen derived by Bigiel et al. (2008) for spiral galaxies: log   ΣSFR = −3.02 + 0.96log   ΣH2, with ΣSFR in M yr-1 kpc-2 and ΣH2 in M pc-2. The dashed lines represent the typical 0.2 dex scatter. The molecular mass does not take into account the helium contribution in any case.

Current usage metrics show cumulative count of Article Views (full-text article views including HTML views, PDF and ePub downloads, according to the available data) and Abstracts Views on Vision4Press platform.

Data correspond to usage on the plateform after 2015. The current usage metrics is available 48-96 hours after online publication and is updated daily on week days.

Initial download of the metrics may take a while.