Free Access

Fig. 6

thumbnail

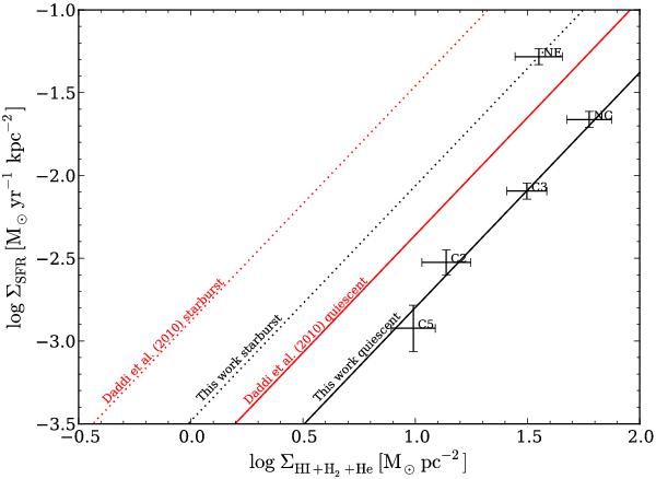
SFR surface density versus the gas surface density, including HI, H2 and He. The points with the 3-σ error bars represent pointings in the Arp 158 system. To take He into account we have multiplied the H2 column density by a factor 1.38. As the HI resolution is significantly worse than the CO beam size, we have used the column density in the central pixel as listed in Table 6. The actual column density remains uncertain and requires higher resolution HI observations. The solid red line represents Daddi et al. (2010) relation derived for BzK galaxies: log   ΣSFR = −3.83 + 1.42log   Σgas, with ΣSFR in M yr-1 kpc-2 and Σgas in M pc-2. The dotted red line is the same relation offset by 0.9 dex fitting ULIRGs. The Daddi et al. (2010) relation has been converted from a Chabrier (2003) IMF to a Kroupa (2001) one for easier comparison. The solid black line represents the best fit for the Arp 158 apertures excluding NE with the same slope as the Daddi et al. (2010) relation. Finally the dotted black line represents the same relation offset to pass through the NE region.

Current usage metrics show cumulative count of Article Views (full-text article views including HTML views, PDF and ePub downloads, according to the available data) and Abstracts Views on Vision4Press platform.

Data correspond to usage on the plateform after 2015. The current usage metrics is available 48-96 hours after online publication and is updated daily on week days.

Initial download of the metrics may take a while.