Planck early results
Free Access

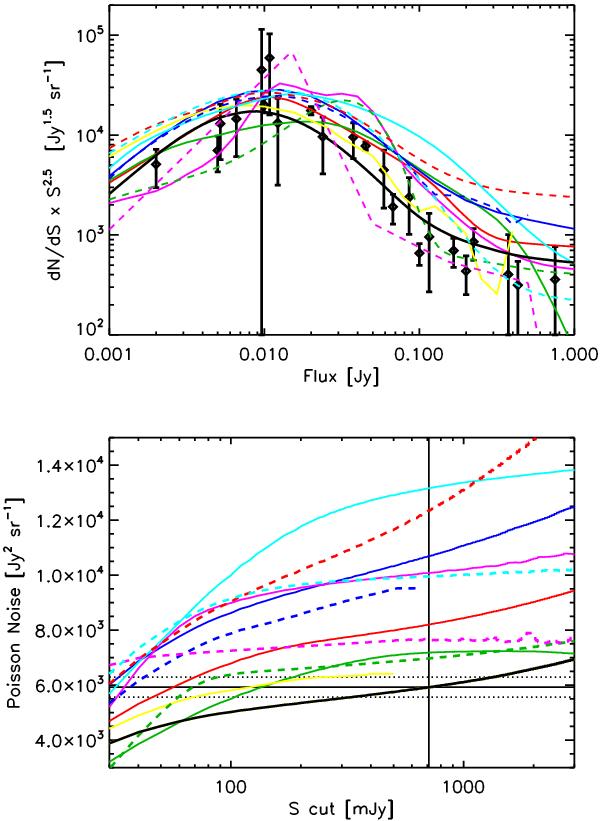
Fig. 7

thumbnail

A number of recent models of dusty-galaxy evolution and their associated shot noise for different flux cuts at 857 GHz. Top: comparison of the models with the Herschel and BLAST differential numbers counts. Models are from Lagache et al. (2004), Negrello et al. (2007), Le Borgne et al. (2009), Patanchon et al. (2009), Pearson & Khan (2009), Valiante et al. (2009), Béthermin et al. (2011), Franceschini et al. (2010), Lacey et al. (2010), Marsden et al. (2011), Rowan-Robinson (2009), Wilman et al. (2010). Data points are from Oliver et al. (2010), Béthermin et al. (2010b), Glenn et al. (2010). Bottom: shot-noise level as a function of the flux cut for the same models (same colour and line coding between the two figures). The vertical and horizontal continuous dark lines show the Planck flux cut and shot-noise level from Table 3, respectively. The Béthermin et al. (2011) model is shown by the continuous dark line. This figure shows that models predicting a very high shot noise (e.g. continuous and dashed light-blue, red-dashed, continuous and dashed dark-blue lines) are incompatible with the measured number counts.

This figure is made of several images, please see below:

Current usage metrics show cumulative count of Article Views (full-text article views including HTML views, PDF and ePub downloads, according to the available data) and Abstracts Views on Vision4Press platform.

Data correspond to usage on the plateform after 2015. The current usage metrics is available 48-96 hours after online publication and is updated daily on week days.

Initial download of the metrics may take a while.