Planck early results
Free Access

Fig.6

thumbnail

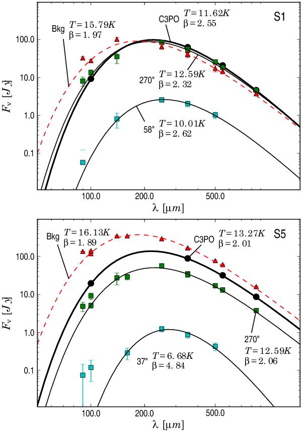
Spectral energy distribution of various components in the S1 (upper panel) and S5 (lower panel) fields, including: the Planck SED according to the C3PO catalogue (solid circles and thick solid line), aperture photometry with 270″ and 37″ or 58″ radius aperture sizes (squares and thin solid lines) and the background SED (triangles and dashed line). The temperatures and β values derived from the modified blackbody fits are given in the figure (see also Table 3). The background SED is that of the median surface brightness in the reference annulus surrounding the larger aperture (see Fig. 5).

This figure is made of several images, please see below:

Current usage metrics show cumulative count of Article Views (full-text article views including HTML views, PDF and ePub downloads, according to the available data) and Abstracts Views on Vision4Press platform.

Data correspond to usage on the plateform after 2015. The current usage metrics is available 48-96 hours after online publication and is updated daily on week days.

Initial download of the metrics may take a while.