Planck early results
Free Access

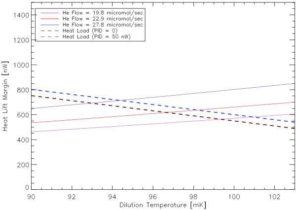
Fig. 7

thumbnail

Heat lift margin of the dilution cooler as a function of dilution temperature and helium flow, with the dilution cooler control unit at 19 °C. For operation in flight at 101 mK, 115 nW is available to accommodate the heating from cosmic rays and for temperature regulation even at the lowest flow (Fmin2 = 19.8 μmol -1) used in flight (see Table 3 and Sect. 4.4).

Current usage metrics show cumulative count of Article Views (full-text article views including HTML views, PDF and ePub downloads, according to the available data) and Abstracts Views on Vision4Press platform.

Data correspond to usage on the plateform after 2015. The current usage metrics is available 48-96 hours after online publication and is updated daily on week days.

Initial download of the metrics may take a while.