Free Access

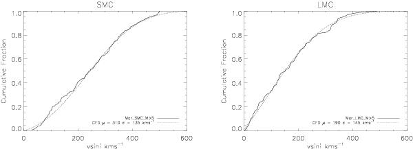
Fig. 6

thumbnail

SMC (left) and LMC (right) samples from Martayan et al. (2006, 2007) (solid line) fitted with Gaussian distributions (dashed line) in order to obtain estimates for the central velocity and width of the intrinsic rotational velocity. Only objects greater than 5 M have been included in order to be comparable with our mass range. The values adopted for the fits are given in Table 7.

This figure is made of several images, please see below:

Current usage metrics show cumulative count of Article Views (full-text article views including HTML views, PDF and ePub downloads, according to the available data) and Abstracts Views on Vision4Press platform.

Data correspond to usage on the plateform after 2015. The current usage metrics is available 48-96 hours after online publication and is updated daily on week days.

Initial download of the metrics may take a while.