Free Access

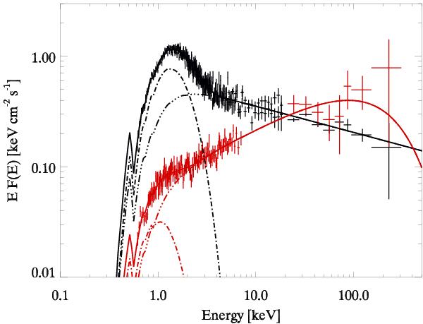
Fig. 2

thumbnail

Broad-band spectrum of MAXI J1836 − 194 obtained by using data from XRT, ISGRI, JEM-X1 and JEM-X2 (the model comprises PL and diskBB components). We show in black the data 1090+13 (see Table 1) of the outburst peak. Red points are from the observations 1099+26 at the end of the outburst and are modeled introducing an exponential roll-over with Ec = 150 keV.

Current usage metrics show cumulative count of Article Views (full-text article views including HTML views, PDF and ePub downloads, according to the available data) and Abstracts Views on Vision4Press platform.

Data correspond to usage on the plateform after 2015. The current usage metrics is available 48-96 hours after online publication and is updated daily on week days.

Initial download of the metrics may take a while.