Free Access
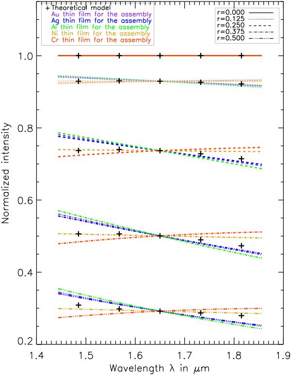
Fig. 12

Transmission values in intensity obtained for the theoretical model and the assembly with different metals as a function of the wavelength. Values are provided for different normal radial distances. Thickness for each material and radial distance are given in Table 2.
Current usage metrics show cumulative count of Article Views (full-text article views including HTML views, PDF and ePub downloads, according to the available data) and Abstracts Views on Vision4Press platform.
Data correspond to usage on the plateform after 2015. The current usage metrics is available 48-96 hours after online publication and is updated daily on week days.
Initial download of the metrics may take a while.