Free Access

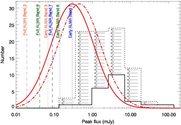
Fig. 10

thumbnail

Histogram showing the detections and detection limits of all the bands combined and an estimate of the real peak flux density distribution (indicated with a thick trace), compared to the detection limits of ALMA (from Table 5). The dashed-dotted Gaussian is the distribution derived from our sample, before correcting for the selection bias, as explained in the text.

Current usage metrics show cumulative count of Article Views (full-text article views including HTML views, PDF and ePub downloads, according to the available data) and Abstracts Views on Vision4Press platform.

Data correspond to usage on the plateform after 2015. The current usage metrics is available 48-96 hours after online publication and is updated daily on week days.

Initial download of the metrics may take a while.