Free Access
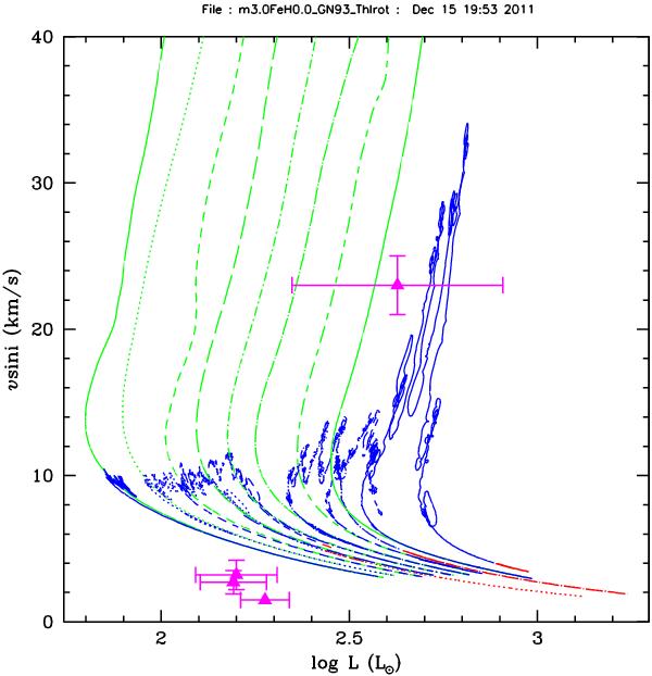
Fig. 2

υsini as a function of luminosity for the rotating models with initial masses from 3.0 to 4.5 M⊙ (from left to right). The triangles are the observational values for HD 18474, HD 21018, HD 166208, HD 188328, and HD 165634 as listed in Table 2.
Current usage metrics show cumulative count of Article Views (full-text article views including HTML views, PDF and ePub downloads, according to the available data) and Abstracts Views on Vision4Press platform.
Data correspond to usage on the plateform after 2015. The current usage metrics is available 48-96 hours after online publication and is updated daily on week days.
Initial download of the metrics may take a while.