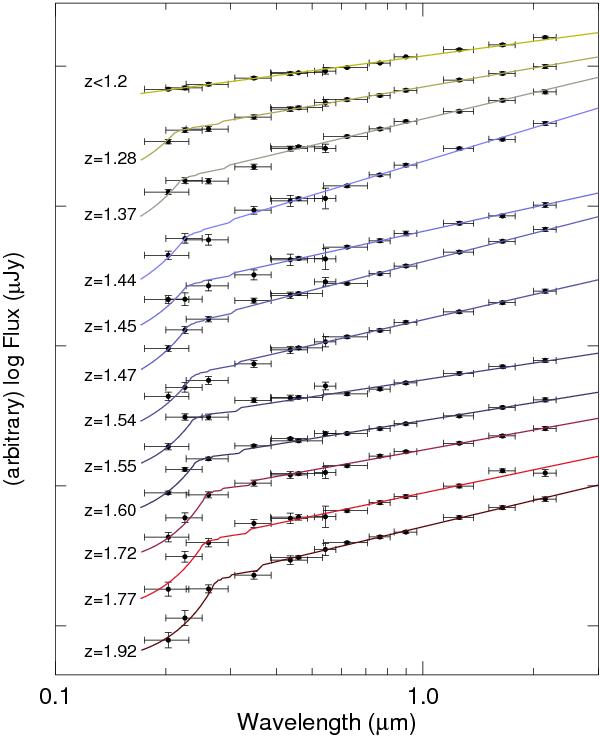
Fig. 6

SEDs for the eleven sources for which photometric redshifts larger than 1.2 were estimated (see Table 4) and one example for zphot < 1.2. From bottom to top: CRATES J0402-2615, CRATES J1312-2156, OM 235, CRATES J0630-2406, SUMSS J053748-571828, PKS 0600-749, PKS 0332-403, CLASS J2352+1749, PKS 0047+023, PKS 0055-328, RX J0035.2+1515, and BZB J0543-5532.
Current usage metrics show cumulative count of Article Views (full-text article views including HTML views, PDF and ePub downloads, according to the available data) and Abstracts Views on Vision4Press platform.
Data correspond to usage on the plateform after 2015. The current usage metrics is available 48-96 hours after online publication and is updated daily on week days.
Initial download of the metrics may take a while.