Free Access

Fig. 1

thumbnail

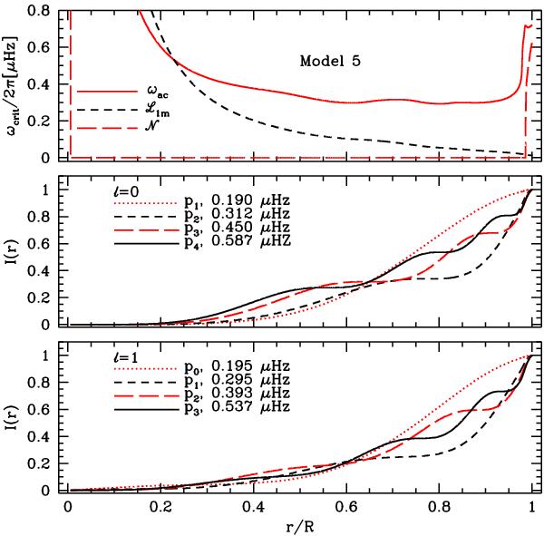
Critical frequencies (see text) in Model 5 (see Table 1). (Top) Relative contributions to mode inertia integrated upward from the base convective envelope for all four modes with frequencies below ωac(R). (Middle) The same for the first four dipolar modes trapped in the envelope. (Bottom) There is one more dipolar overtone, whose frequency ν = 0.677 μHz is below ωac(R).

Current usage metrics show cumulative count of Article Views (full-text article views including HTML views, PDF and ePub downloads, according to the available data) and Abstracts Views on Vision4Press platform.

Data correspond to usage on the plateform after 2015. The current usage metrics is available 48-96 hours after online publication and is updated daily on week days.

Initial download of the metrics may take a while.