Free Access

Fig. 10

thumbnail

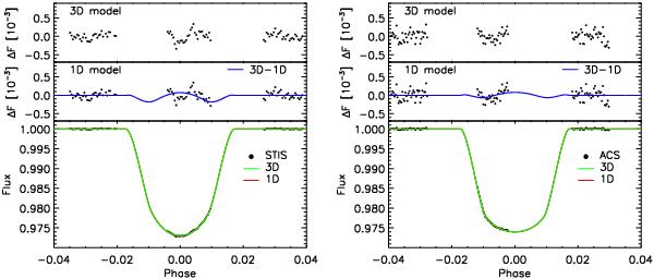
Left: transit light curve fits for one HST STIS visit of HD 189733 (dots in the lower panel, data from Sing et al. 2011), integrated over the wavelength range between 2900 Å and 5700 Å with limb darkening coefficients derived from the 3D model (green line) and the 1D MARCS model (red line); see Table 5 for the fit parameters. The residuals of the 3D fit and the 1D fit are shown in the upper panel and center panel, the blue line shows the deviation between the 3D and 1D model light curves. Right: transit light curve fits for one HST ACS visit of HD 189733 (data from Pont et al. 2007), integrated over the wavelength range between 5350 Å and 10   500 Å.

This figure is made of several images, please see below:

Current usage metrics show cumulative count of Article Views (full-text article views including HTML views, PDF and ePub downloads, according to the available data) and Abstracts Views on Vision4Press platform.

Data correspond to usage on the plateform after 2015. The current usage metrics is available 48-96 hours after online publication and is updated daily on week days.

Initial download of the metrics may take a while.