Highlight
Free Access

Fig. 6

thumbnail

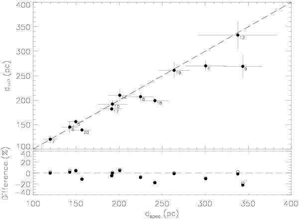
Results of the distance determination. Upper panel: comparison of spectroscopic and Hipparcos distances. 1σ-uncertainties are shown. Numbering according to Table 1. The 1:1 relation is indicated by the dashed line. Lower panel: percent difference of the two distance indicators. Open circles mark the data if corrected for Lutz-Kelker bias. See Sect. 5.1 for a discussion.

Current usage metrics show cumulative count of Article Views (full-text article views including HTML views, PDF and ePub downloads, according to the available data) and Abstracts Views on Vision4Press platform.

Data correspond to usage on the plateform after 2015. The current usage metrics is available 48-96 hours after online publication and is updated daily on week days.

Initial download of the metrics may take a while.