Free Access

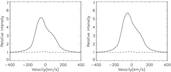
Fig. 20

thumbnail

Hα profiles calculated with the dipolar and axisymmetric hybrid model that includes both magnetospheric accretion and diskwind (solid lines). The dashed lines show only the diskwind contribution to each profile. We used the parameters presented in Table 4, a maximum wind temperature of Twind,max = 9000 K and a photosphetric temperatures of Tphot = 4500 K. We varied the maximum temperature of the magnetosphere from Tmag,max = 9000 K (left) to Tmag,max = 8950 K (right).

This figure is made of several images, please see below:

Current usage metrics show cumulative count of Article Views (full-text article views including HTML views, PDF and ePub downloads, according to the available data) and Abstracts Views on Vision4Press platform.

Data correspond to usage on the plateform after 2015. The current usage metrics is available 48-96 hours after online publication and is updated daily on week days.

Initial download of the metrics may take a while.