Free Access

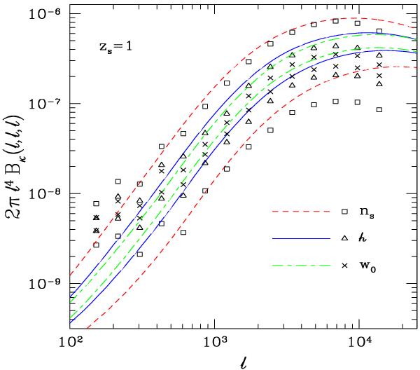
Fig. 8

thumbnail

Convergence bispectrum for sources at redshift zs = 1, for the six cosmologies given in Table A.1. The points are the results from numerical simulations and the lines are the predictions of our model.

Current usage metrics show cumulative count of Article Views (full-text article views including HTML views, PDF and ePub downloads, according to the available data) and Abstracts Views on Vision4Press platform.

Data correspond to usage on the plateform after 2015. The current usage metrics is available 48-96 hours after online publication and is updated daily on week days.

Initial download of the metrics may take a while.