Free Access

Fig. 11

thumbnail

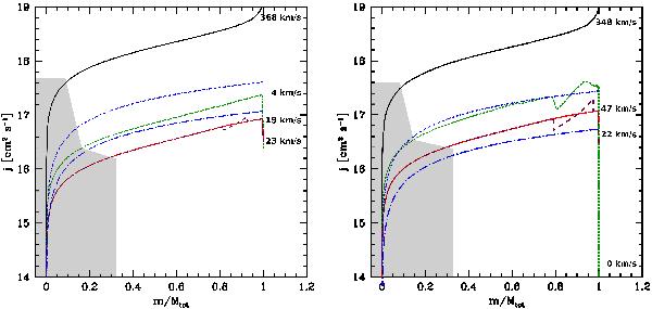
Specific angular momentum for the rotating 85   M (left) and 60   M (right) models as a function of the Lagrangian mass coordinate normalised to the actual total mass of the star. The continuous (black) curve corresponds to the ZAMS, the short-dashed (green) curve to the beginning of the core He-burning phase, the long-dashed (red) curve to the beginning of the C-burning phase, and the medium-dashed (purple) curve to the end of the C-burning phase. The dot-short-dashed (blue) curve indicates the minimum specific angular momentum for a stable circular orbit around a Schwarzschild black-hole and the dot-long-dashed (blue) indicates the minimum specific angular momentum for a stable circular orbit around a maximally rotating Kerr black-hole. The grey area cuts the lines at the point corresponding to the mass coordinate equal to the mass of the remnant indicated in Table 4. The surface equatorial velocities are indicated for each stage.

This figure is made of several images, please see below:

Current usage metrics show cumulative count of Article Views (full-text article views including HTML views, PDF and ePub downloads, according to the available data) and Abstracts Views on Vision4Press platform.

Data correspond to usage on the plateform after 2015. The current usage metrics is available 48-96 hours after online publication and is updated daily on week days.

Initial download of the metrics may take a while.