Free Access

This article has an erratum: [https://doi.org/10.1051/0004-6361/201118483e]


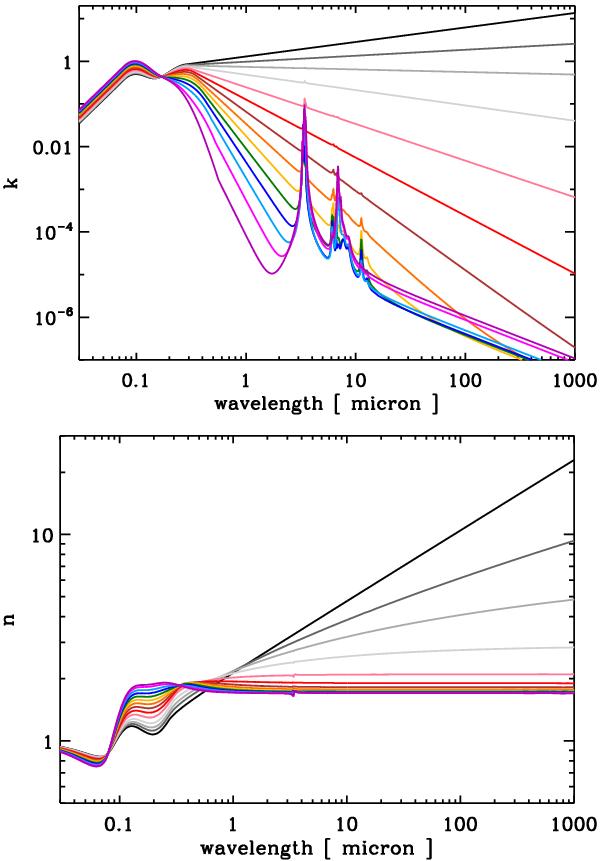
Fig. 3

thumbnail

The imaginary (k, upper plot) and real (n, lower plot) parts of the refractive index for 100 nm radius particles as a function of Eg for large gap (2.67 eV, lower purple lines at λ = 2 μm) to small gap ( − 0.1 eV, upper black lines at λ = 2 μm) a-C(:H) materials (see Table 1 for the full colour-coding scheme).

This figure is made of several images, please see below:

Current usage metrics show cumulative count of Article Views (full-text article views including HTML views, PDF and ePub downloads, according to the available data) and Abstracts Views on Vision4Press platform.

Data correspond to usage on the plateform after 2015. The current usage metrics is available 48-96 hours after online publication and is updated daily on week days.

Initial download of the metrics may take a while.