Fig. 3

thumbnail

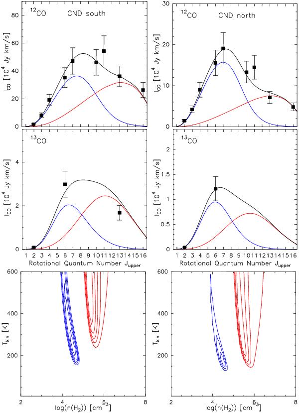
LVG model fits with the parameters given in Table 2 for CND-S in the left column, for CND-N in the right column. The lowest panels display the χ2 distribution of allowed solutions in the density-temperature space (units are from 4 to 14 by 2).

Current usage metrics show cumulative count of Article Views (full-text article views including HTML views, PDF and ePub downloads, according to the available data) and Abstracts Views on Vision4Press platform.

Data correspond to usage on the plateform after 2015. The current usage metrics is available 48-96 hours after online publication and is updated daily on week days.

Initial download of the metrics may take a while.