Free Access

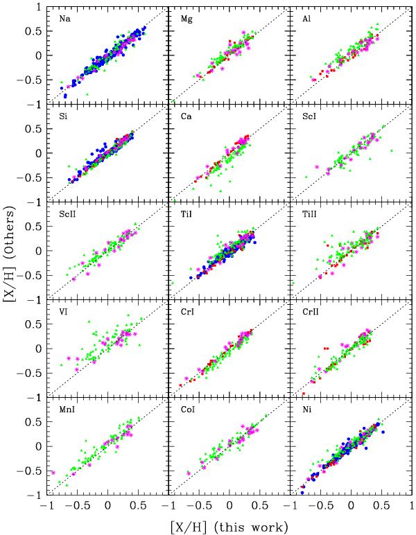
Fig. 5

thumbnail

Comparison of our abundance to those derived in other studies: Bensby et al. (2005) (red squares), Valenti & Fischer (2005) (blue dots), Gilli et al. (2006) (green triangles), and Takeda (2007) (magenta asterisks). The element label is located at the upper left corner of each plot.

Current usage metrics show cumulative count of Article Views (full-text article views including HTML views, PDF and ePub downloads, according to the available data) and Abstracts Views on Vision4Press platform.

Data correspond to usage on the plateform after 2015. The current usage metrics is available 48-96 hours after online publication and is updated daily on week days.

Initial download of the metrics may take a while.