Free Access

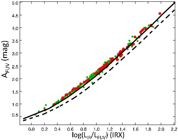
Fig. 14

thumbnail

Dust attenuation in FUV as a function of log (LIR/LFUV) = IRX. The symbols are the same as in Fig. 3. The relation of Overzier et al. (2011) for local starbursts is plotted with a solid line, while the relation proposed by Hao et al. (2011) for local star-forming galaxies is plotted with a black dotted line.

Current usage metrics show cumulative count of Article Views (full-text article views including HTML views, PDF and ePub downloads, according to the available data) and Abstracts Views on Vision4Press platform.

Data correspond to usage on the plateform after 2015. The current usage metrics is available 48-96 hours after online publication and is updated daily on week days.

Initial download of the metrics may take a while.