Free Access

Fig. 2

thumbnail

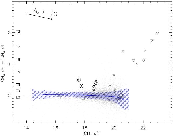
CH4on-CH4off vs. CH4off diagram for the point-like objects detected in Serpens Core (small grey dots). The continuous line and the line-filled area show the median locus of field stars and their dispersion, respectively. The squares and triangles show the location of confirmed field L and T dwarfs, respectively; their magnitudes have been shifted to the distance modulus of Serpens. The circles show the position of our the T-dwarf candidates; their ID number (see Tables 3, 4) is indicated and errors bars are within the circle size. The extinction vector is shown for AV = 10 mag. The CH4on-CH4off vs. spectral type calibration relation by Burgess et al. (2009) is also reported on the y-axis.

Current usage metrics show cumulative count of Article Views (full-text article views including HTML views, PDF and ePub downloads, according to the available data) and Abstracts Views on Vision4Press platform.

Data correspond to usage on the plateform after 2015. The current usage metrics is available 48-96 hours after online publication and is updated daily on week days.

Initial download of the metrics may take a while.