Free Access

Fig. 3

thumbnail

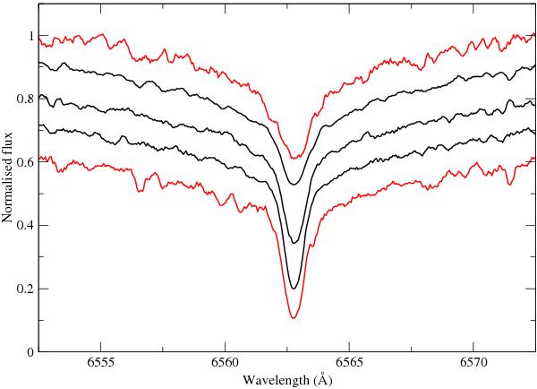
Hα cores of four hot white dwarfs. Top to bottom: WD 0446−789 (magnetic according to Table 2, red line), WD 1620−391, WD 2039−202, WD 2007−303 (all with longitudinal field consistent with zero), WD 1105−048 (possibly magnetic, red line).

Current usage metrics show cumulative count of Article Views (full-text article views including HTML views, PDF and ePub downloads, according to the available data) and Abstracts Views on Vision4Press platform.

Data correspond to usage on the plateform after 2015. The current usage metrics is available 48-96 hours after online publication and is updated daily on week days.

Initial download of the metrics may take a while.