Free Access

Fig. 5

thumbnail

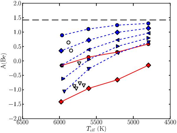
Beryllium depletion at t = 1.7 Gyr for our fast-rotating model (P0 = 1.2 d) with τd = 1 Myr (continuous red lines) and τd = 5 Myr (dashed blue lines), for all four masses M = 0.8,0.9,1,1.1   M. The symbols correspond to different values of α: 1 (dot), 2 (diamond), 3 (left triangle), 4 (right triangle), 5 (down triangle). Open symbols are the objects of Table 1, triangles stand for upper limits. The initial Be abundance is shown as a horizontal dashed line.

Current usage metrics show cumulative count of Article Views (full-text article views including HTML views, PDF and ePub downloads, according to the available data) and Abstracts Views on Vision4Press platform.

Data correspond to usage on the plateform after 2015. The current usage metrics is available 48-96 hours after online publication and is updated daily on week days.

Initial download of the metrics may take a while.