Free Access

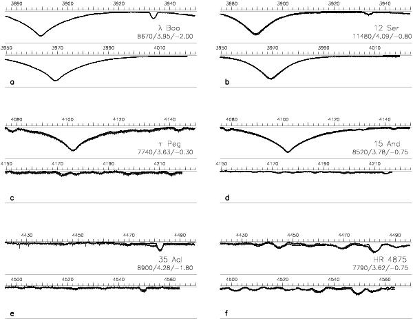
Fig. 6

thumbnail

Spectra of the six definite or probable λ Boo stars in our sample are compared with synthetic spectra generated from ATLAS9 models having the parameters listed in Table 4. Panels a) and b) show the Ca ii K-line regions of λ Boo and 12 Ser, panels c) and d) show the H-δ regions of τ Peg and 15 And, while panels e) and f) show the blue regions of 35 Aql and HR 4875.

Current usage metrics show cumulative count of Article Views (full-text article views including HTML views, PDF and ePub downloads, according to the available data) and Abstracts Views on Vision4Press platform.

Data correspond to usage on the plateform after 2015. The current usage metrics is available 48-96 hours after online publication and is updated daily on week days.

Initial download of the metrics may take a while.