Free Access

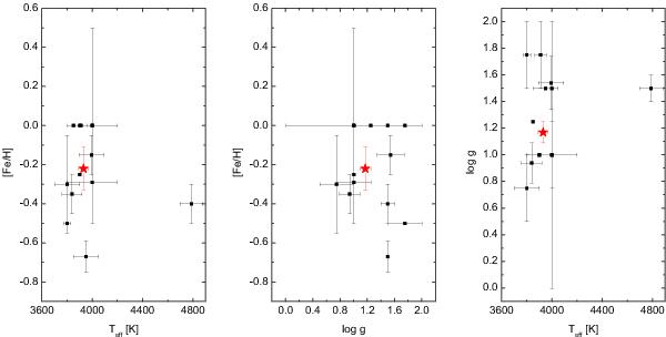
Fig. 11

thumbnail

Results of the various model fits in three different two-parameter planes for Star 1 (α Tau). The red star marks the values of the direct parameters given in Table 1.

Current usage metrics show cumulative count of Article Views (full-text article views including HTML views, PDF and ePub downloads, according to the available data) and Abstracts Views on Vision4Press platform.

Data correspond to usage on the plateform after 2015. The current usage metrics is available 48-96 hours after online publication and is updated daily on week days.

Initial download of the metrics may take a while.