Free Access

Fig. 14

thumbnail

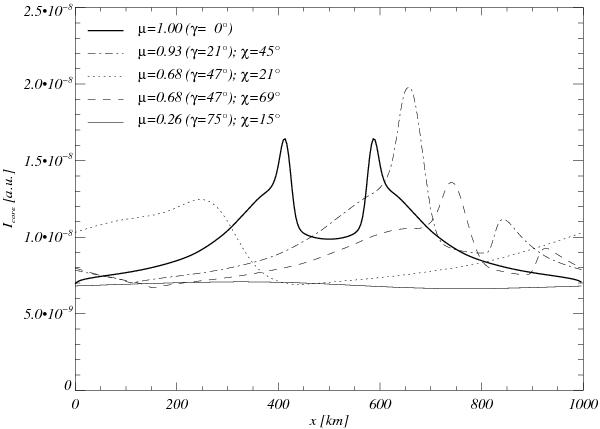
Core intensity of the 525.0 nm line for the different viewing angles considered in the 2D FS geometry. Viewing angles and μ = cosγ are given in the text labels. In a FS, rays with the same μ (dotted, dashed) do not necessarily have similar intensities. The hot walls are more clearly seen for larger azimuthal angles χ. Note that the location of the maximum intensity in x is – for inclined rays – somewhat arbitrary as the outgoing intensity is plotted at the top of the atmosphere.

Current usage metrics show cumulative count of Article Views (full-text article views including HTML views, PDF and ePub downloads, according to the available data) and Abstracts Views on Vision4Press platform.

Data correspond to usage on the plateform after 2015. The current usage metrics is available 48-96 hours after online publication and is updated daily on week days.

Initial download of the metrics may take a while.