Press Release
Free Access

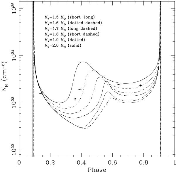
Fig. 3

thumbnail

Time-averaged simulated absorbing column density (NH) for various neutron star masses (group 2 in Table 1). The stellar wind is characterised by a  = 1 × 10-6   M yr-1 and υ = 500 km s-1. The data points are from MW11.

Current usage metrics show cumulative count of Article Views (full-text article views including HTML views, PDF and ePub downloads, according to the available data) and Abstracts Views on Vision4Press platform.

Data correspond to usage on the plateform after 2015. The current usage metrics is available 48-96 hours after online publication and is updated daily on week days.

Initial download of the metrics may take a while.