Free Access

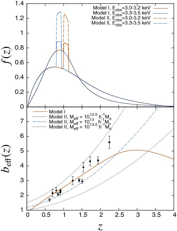
Fig. 1

thumbnail

Upper panel: radial selection functions, i.e., probability distribution functions for emission redshifts of photons, for Models I and II (see Table 1), assuming observational energy bands 3.0−3.2 keV and 3.3−3.5 keV with Flim fixed to 10-13 erg/s/cm2. Lower panel: effective clustering bias as a function of redshift for Models I and II. For Model II, along with our default value Meff = 1013   h-1M, we also show cases with Meff = 1012.5 and 1013.5, which cover the typical range of biasing values obtained in the literature. The points with error bars show bias measurements for X-ray selected AGN from the COSMOS field as determined by Allevato et al. (2011, see their Fig. 9 for further details).

Current usage metrics show cumulative count of Article Views (full-text article views including HTML views, PDF and ePub downloads, according to the available data) and Abstracts Views on Vision4Press platform.

Data correspond to usage on the plateform after 2015. The current usage metrics is available 48-96 hours after online publication and is updated daily on week days.

Initial download of the metrics may take a while.