Free Access

Fig. 6

thumbnail

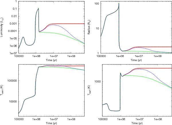
Formation and subsequent evolution of a 16 MJ object forming via core accretion with a radiatively efficient shock (cold start). The four panels show the temporal evolution of the total luminosity (internal  +  shock) (upper left), the radius (upper right), the central temperature (lower left) and the surface temperature (lower right). The dotted blue line shows the results obtained for the fiducial model as specified in Table 1. For the solid red line, the deuterium abundance was kept constant, while for the dashed green line, deuterium burning was disabled.

Current usage metrics show cumulative count of Article Views (full-text article views including HTML views, PDF and ePub downloads, according to the available data) and Abstracts Views on Vision4Press platform.

Data correspond to usage on the plateform after 2015. The current usage metrics is available 48-96 hours after online publication and is updated daily on week days.

Initial download of the metrics may take a while.