Free Access

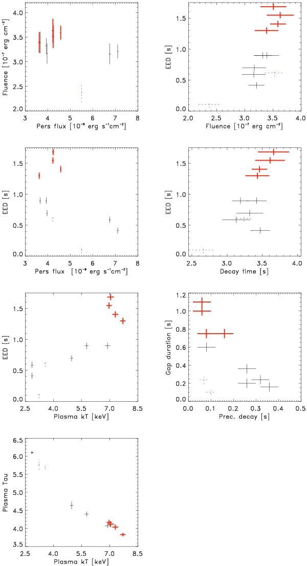
Fig. 5

thumbnail

Diagrams of burst parameters versus persistent emission parameters (left column, except bottom plot) and burst parameters versus burst parameters (right column). The plotted fluence is the measured fluence (see Table 1). The dashed blue data points refer to bursts A and B (top 2 light curves in Fig. 2). The 4 superexpansion bursts are plotted with thick red lines. For additional information a diagram is shown between plasma temperature and optical depth (bottom left plot). (This figure is available in color in the electronic form.)

Current usage metrics show cumulative count of Article Views (full-text article views including HTML views, PDF and ePub downloads, according to the available data) and Abstracts Views on Vision4Press platform.

Data correspond to usage on the plateform after 2015. The current usage metrics is available 48-96 hours after online publication and is updated daily on week days.

Initial download of the metrics may take a while.