Free Access

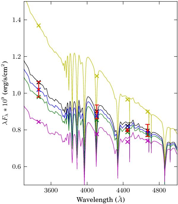
Fig. 5

thumbnail

SED models calculated for the best fit parameters of PG 1104+243 as given in Table 6, but with varying surface gravity of the sdB component. From bottom to top, the models have a log g of respectively 6.00, 5.85, 5.81, 5.77 and 5.00 dex (cgs). The crosses show the integrated model photometry. The photometric observations with their error bars are given in red.

Current usage metrics show cumulative count of Article Views (full-text article views including HTML views, PDF and ePub downloads, according to the available data) and Abstracts Views on Vision4Press platform.

Data correspond to usage on the plateform after 2015. The current usage metrics is available 48-96 hours after online publication and is updated daily on week days.

Initial download of the metrics may take a while.