Free Access

Fig. A.2

thumbnail

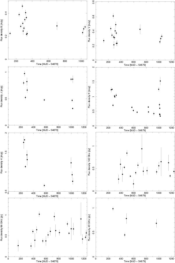
Light curves at various frequencies. From top left to bottom right panel: B from Swift/UVOT [mJy]; V from Swift/UVOT [mJy]; J from INAOE [mJy]; H from INAOE [mJy]; K from INAOE [mJy]; 142 GHz from IRAM [Jy]; 86 GHz from IRAM [Jy]; 43 GHz from Effelsberg [Jy]. Time starts on 2008 August 1 00:00 UTC (MJD 54 679).

This figure is made of several images, please see below:

Current usage metrics show cumulative count of Article Views (full-text article views including HTML views, PDF and ePub downloads, according to the available data) and Abstracts Views on Vision4Press platform.

Data correspond to usage on the plateform after 2015. The current usage metrics is available 48-96 hours after online publication and is updated daily on week days.

Initial download of the metrics may take a while.