Free Access

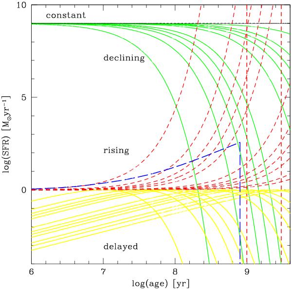
Fig. 1

thumbnail

Illustration of the star formation histories adopted in this paper. Shown is the SFR as a function of age. Within each model set A–E the curves are normalized to an arbitrary value. The colors used for the different SFHs are listed in Table 1.

Current usage metrics show cumulative count of Article Views (full-text article views including HTML views, PDF and ePub downloads, according to the available data) and Abstracts Views on Vision4Press platform.

Data correspond to usage on the plateform after 2015. The current usage metrics is available 48-96 hours after online publication and is updated daily on week days.

Initial download of the metrics may take a while.