Free Access

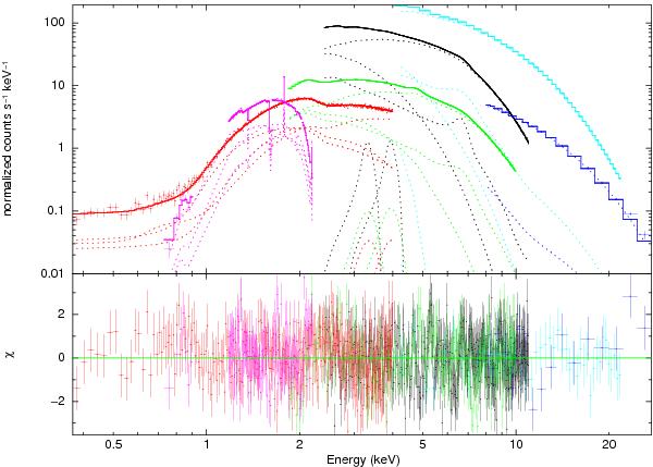
Fig. 6

thumbnail

Top panel: XMM/RGS1 (magenta), XMM/EPIC-pn (black), BeppoSAX/LECS (red), BeppoSAX/MECS (green), BeppoSAX/HPGSPC (blue), RXTE/PCA (cyan) data points in the range 0.3−30 keV, when 4U 1705−44 was in the soft state. Bottom panel: residuals (data-model) in unit of σ when the reflionx model is used to describe the reflection component. The parameters associated to this model are indicated in Table 7. The XMM/RGS1 data have been rebinned for graphical purpose.

Current usage metrics show cumulative count of Article Views (full-text article views including HTML views, PDF and ePub downloads, according to the available data) and Abstracts Views on Vision4Press platform.

Data correspond to usage on the plateform after 2015. The current usage metrics is available 48-96 hours after online publication and is updated daily on week days.

Initial download of the metrics may take a while.