Free Access

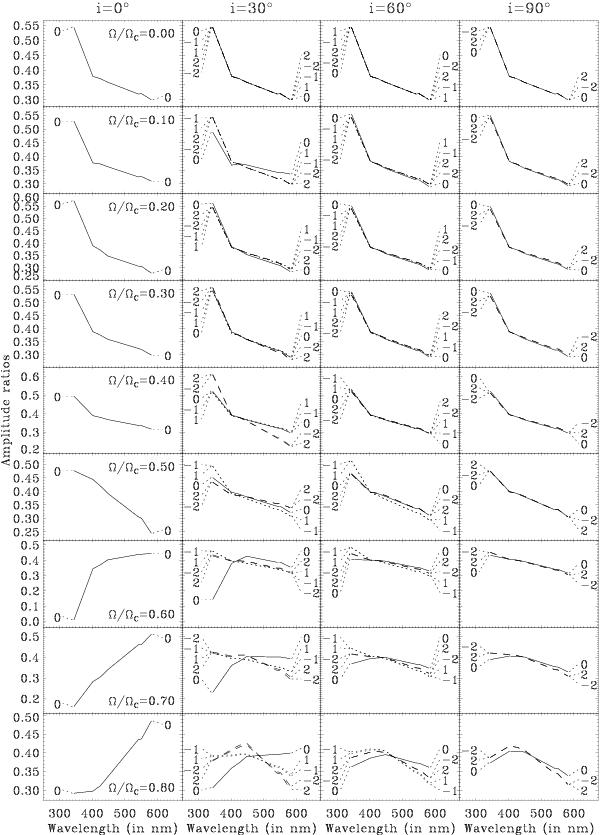
Fig. 12

thumbnail

Amplitude ratios of the (n,) = (6,2) multiplet, based on the Geneva photometric system. Each column corresponds to a different orientation and each row to a different rotation rate. The numbers on either end of each plot and connected by dotted lines indicate the azimuthal order, m. The continuous, dotted, and dashed linestyles correspond to m = 0, |m| = 1 and |m| = 2, respectively.

Current usage metrics show cumulative count of Article Views (full-text article views including HTML views, PDF and ePub downloads, according to the available data) and Abstracts Views on Vision4Press platform.

Data correspond to usage on the plateform after 2015. The current usage metrics is available 48-96 hours after online publication and is updated daily on week days.

Initial download of the metrics may take a while.