| Issue |
A&A
Volume 550, February 2013
|
|
|---|---|---|
| Article Number | A77 | |
| Number of page(s) | 28 | |
| Section | Stellar structure and evolution | |
| DOI | https://doi.org/10.1051/0004-6361/201220506 | |
| Published online | 30 January 2013 | |
Online material
Appendix A: Equations in spheroidal coordinates
In this section, we derive explicit expressions for the pulsation equations and the
mechanical boundary condition, based on the coordinate system described in Sect. 2.4. However, before giving these expressions, it is
useful to recall a few definitions. The natural covariant basis, denoted
(Eζ, Eθ, Eφ),
is defined via the relation
Ei = ∂ir,
where i stands for ζ, θ or
φ, and
r = rer:
(A.1)Here
(er, eθ, eφ)
is the usual spherical basis associated with the spherical coordinates
(r θ, φ). The associated
dual (contravariant) basis is defined such that
:
(A.2)The vector
Eζ is perpendicular to
surfaces of constant ζ value, including the stellar surface. As in
Reese et al. (2006), we derive an alternate
basis from
(Eζ, Eθ, Eφ)
as follows:
(A.3)In the spherical
limit, the alternate basis converges to the spherical basis. The Lagrangian displacement
is decomposed over the alternate basis as follows:
(A.4)These components are
related to the spherical components (see Eq. (20)) as follows:
(A.5)where superscripts
are used with the alternate components, and subscripts with the spherical components.
Based on the alternate components, the dot product
ξ·geff
becomes:
(A.6)where we have
introduced the following quantities:
(A.7)
A.1. Pulsation equations
We now give explicit expressions for the pulsation equations in spheroidal
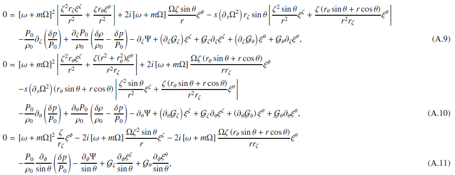
coordinates. The continuity equation is:
(A.8)Euler’s equation
takes on the following form:
where
s = rsinθ is the distance to the
rotation axis. Poisson’s equation becomes:
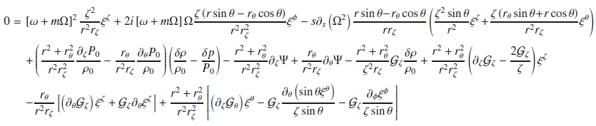
(A.12)where
As
was pointed out in Sect. 2.2, the relative
Lagrangian density perturbation,
δρ/ρ0, can be
eliminated in favour of the relative Lagrangian pressure perturbation,
δp/P0, thanks to the
adiabatic relation, Eq. (6).
A.2. Mechanical boundary condition
As explained in Sect. 2.5, the mechanical
boundary condition is obtained by calculating the dot product between
Eζ and Euler’s equation,
and cancelling out the vertical gradient of
δp/P0. Furthermore,
the quantity
∂ζξζ
is eliminated through the continuity equation, and the terms
and
vanish at the surface. In spheroidal components, one obtains:
(A.15)
Appendix B: Lagrangian perturbation to the effective gravity
As was explained in Sect. 3.2, the Lagrangian
perturbation to the effective gravity,
δgeff, is deduced from the vectorial
Lagrangian perturbation to the effective gravity,
δgeff, via the relation
δgeff = −n·δgeff,
where n is the outward normal at the surface. Furthermore,
δgeff includes the
Lagrangian perturbation to the gradient of the gravitational potential and the
acceleration of a particle tied to the surface, resulting from the oscillatory motions.
After adding and subtracting
ξ·∇(sΩ2es)
in order to introduce the equilibrium effective gravity, a vectorial expression is
obtained in Eq. (34), and is reproduced
here for convenience:
(B.1)In
what follows, we will go through the above equation one term at a time in order to
obtain explicit expressions for the dot product of n with
each one.
The Eulerian perturbation to gravity is obtained through tensor analysis:
(B.2)where
we have used the relation
. Furthermore, we
have used Einstein’s summation convention on repeated indices.
Before dealing with the next term, it is useful to introduce the contravariant
components of the Lagrangian displacement, which we distinguish from the components
given in Eq. (A.4) by placing a tilde
over the top:
(B.3)where
(Eζ, Eθ, Eφ)
is given in Eq. (A.1). We also introduce
the covariant components of the effective gravity:
(B.4)From Eq. (31), it is straightforward to see that
. Furthermore,
and
at
the stellar surface.
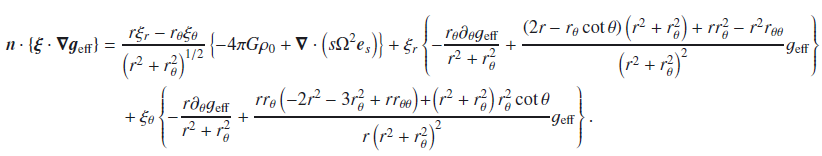
In tensorial notation, the term
n·{ξ·∇geff}
becomes:
(B.5)where
gij = Ei·Ej
denotes the contravariant components of the metric tensor, and
the
Christoffel coefficients. Equation (B.5)
can be simplified if we use the following relation:
(B.6)which is a
modified form of Poisson’s equation. The result is:
(B.7)where
and
where we have made use of the following simplifications:
on the surface,
gij = gji
and
. The above
expression can then be re-expressed in terms of
ξr,
ξθ and geff
to yield:
(B.10)The
term
∇·(sΩ2es)
takes on the following expression for a general rotation profile,
Ω ≡ Ω(ζ,θ):
(B.11)For
a cylindrical rotation profile, Ω ≡ Ω(s), it becomes:
(B.12)The term
(ω + mΩ)2n·ξ
is given by:
(B.13)The Coriolis term is
given by:
(B.14)The last two terms are
more conveniently treated together. They take on the following expression for a general
rotation profile:
(B.15)If the rotation
profile is cylindrical, they become:
(B.16)Combining all of these
equations together, and remembering the minus sign, yields Eq. (35).
Appendix C: Cancelling of simplified disk-integration factors
Given the simplified form of the disk-integration factors given in Eq. (45) (see Sect. 3.7), it turns out that some of these cancel out regardless of
inclination. To see this, one needs to start with an explicit form for Eq. (45):
(C.1)where
ψ is a suitably chosen phase, ⟨δT⟩ is given in
Eq. (45), and
f(θ) corresponds to the visibility curve (i.e. the
border between the visible and hidden side of the star). The function f
obeys the following symmetry:
f(θ) + f(π − θ) = π.
We have made use of Eqs. (16) and (22) in obtaining an explicit expression for
eobs.·dS.
The integral in Eq. (C.1) is then split
into two equal halves and the second half is modified according to the variable changes
θ′ = π − θ and
φ′ = φ − π:
(C.2)where
we have made use of the relation
f(θ) + f(π − θ) = π.
The two halves can be combined to give a single integral over the entire
stellar surface only if
.
If we assume this is the case, we can then see under conditions the integral vanishes.
We specifically look at the integration over φ, which now is between
the bounds 0 and 2π. Remembering that
if |m| ≠ 1
and that
if
m ≠ 0, we deduce the second condition for cancelling the
disk-integration factor, i.e. |m| ≥ 2.
Appendix D: Normalisation of multi-colour visibilities
In order to find a normalisation which minimises the distances between a set of
multi-colour visibilities, we start with the cost function given in Eq. (47) and include an additional term so as to
enforce the constraint
. Without loss of generality, we
work with the normalised components,
,
instead of the original ones:
(D.1)where Λ represents a
Lagrange multiplier. Setting the derivatives,
,
∂J/∂Wi,
and ∂J/∂Λ, to zero leads to the
following system:
where
we’ve used vectorial notation for conciseness and where
A·B represents the dot
product
. Using the
normalised components
allows us to simplify Eq. (D.2) to
. When combined with
Eq. (D.3), this yields:
(D.5)This last equation
is in fact an eigenvalue problem where N − Λ is the eigenvalue and
W the eigenvector. In order to determine which
eigensolution yields the minimal value for J, we develop the cost
function as follows:
(D.6)where
we’ve used the simplifications
,
, and
W·W = 1. In order to
simplify the term
,
we calculate the dot product between W and Eq. (D.3):
(D.7)Hence,
(D.8)Therefore, the minimal
value of Λ (and hence the maximal value of N − Λ) corresponds to the
minimal value of J. The vector W is
therefore the principal component of the vector set
and
can be found either via a singular value decomposition of the associated matrix, or more
simply through a power iteration.
© ESO, 2013
Current usage metrics show cumulative count of Article Views (full-text article views including HTML views, PDF and ePub downloads, according to the available data) and Abstracts Views on Vision4Press platform.
Data correspond to usage on the plateform after 2015. The current usage metrics is available 48-96 hours after online publication and is updated daily on week days.
Initial download of the metrics may take a while.