Free Access

Fig. 15

thumbnail

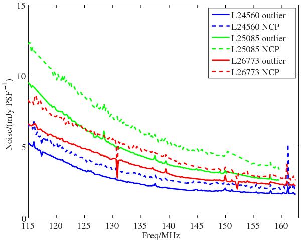
Noise in images made using three nights of data. The noise of each image is estimated at a location at the edge of the FOV as well as at the NCP, using a rectangular window of about 400 × 400 pixels. The three different colours correspond to the three different nights listed in Table 1.

Current usage metrics show cumulative count of Article Views (full-text article views including HTML views, PDF and ePub downloads, according to the available data) and Abstracts Views on Vision4Press platform.

Data correspond to usage on the plateform after 2015. The current usage metrics is available 48-96 hours after online publication and is updated daily on week days.

Initial download of the metrics may take a while.