Free Access

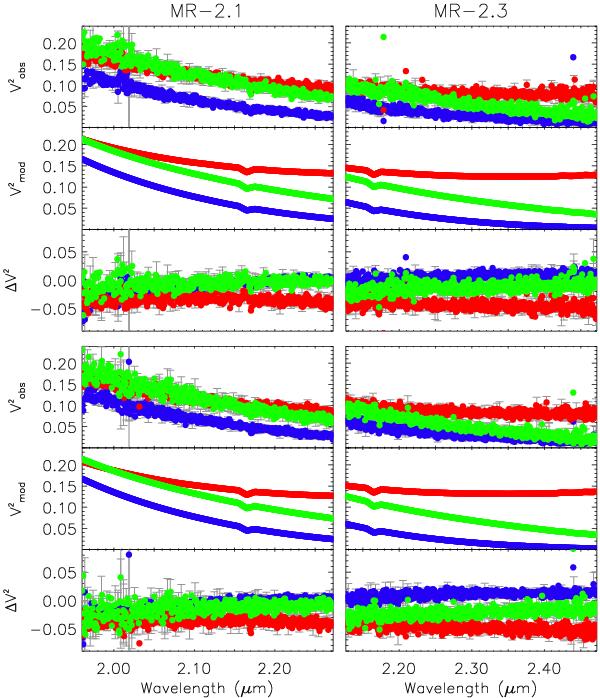
Fig. 9

thumbnail

Medium-resolution (MR-2.1 and MR-2.3) squared visibilities of HR 4049. Colors refer to different baselines: respectively blue, red, and green for the first, second and third baseline of observations (k) to (n) in the order listed in Table 1. Top to bottom in each panel: observed , model V, and residuals .

Current usage metrics show cumulative count of Article Views (full-text article views including HTML views, PDF and ePub downloads, according to the available data) and Abstracts Views on Vision4Press platform.

Data correspond to usage on the plateform after 2015. The current usage metrics is available 48-96 hours after online publication and is updated daily on week days.

Initial download of the metrics may take a while.