Free Access

Fig. 1

thumbnail

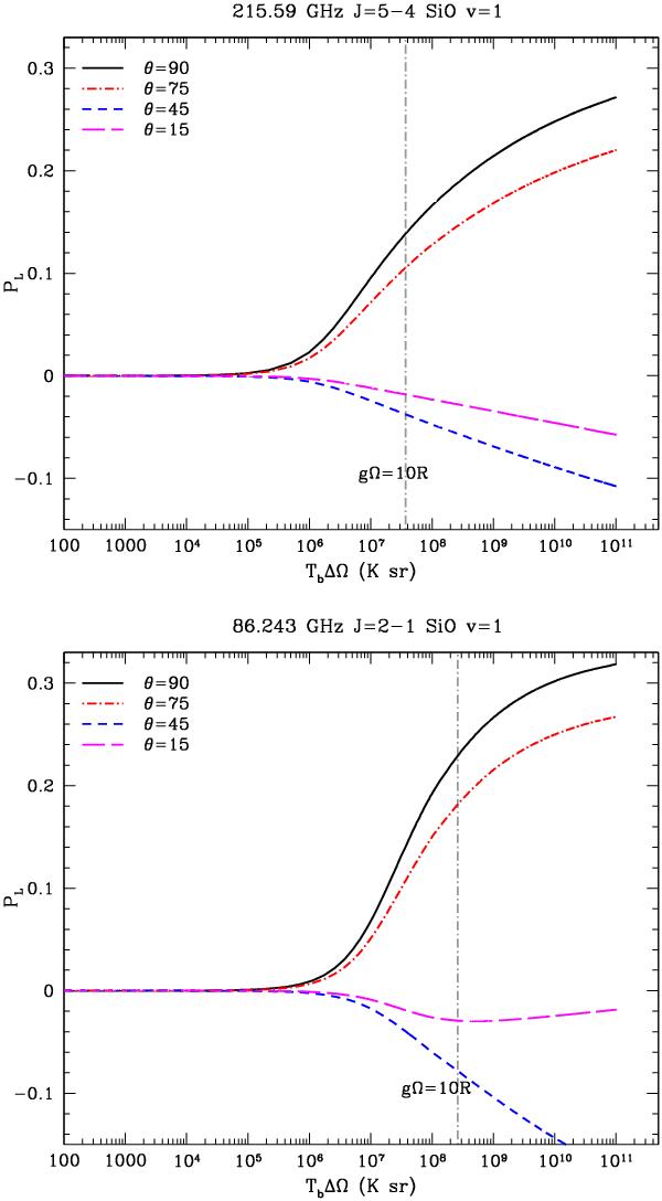
Fractional linear polarization as a function of TbΔΩ for the 215 GHz, J = 5−4 (top), and the 86.2 GHz, J = 2−1 (bottom) SiO rotational transitions within the v = 1 vibrational level for four values of the angle between the magnetic field lines and the direction of propagation of the maser radition, θ, using the parameters listed in Table 3 for SiO. Positive and negative pL values mean that the vector of polarization is either perpendicular or parallel the magnetic field lines projected on the plane of the sky. The vertical line sets the TbΔΩ value such that gΩ = 10R.

This figure is made of several images, please see below:

Current usage metrics show cumulative count of Article Views (full-text article views including HTML views, PDF and ePub downloads, according to the available data) and Abstracts Views on Vision4Press platform.

Data correspond to usage on the plateform after 2015. The current usage metrics is available 48-96 hours after online publication and is updated daily on week days.

Initial download of the metrics may take a while.