Free Access

Fig. 3

thumbnail

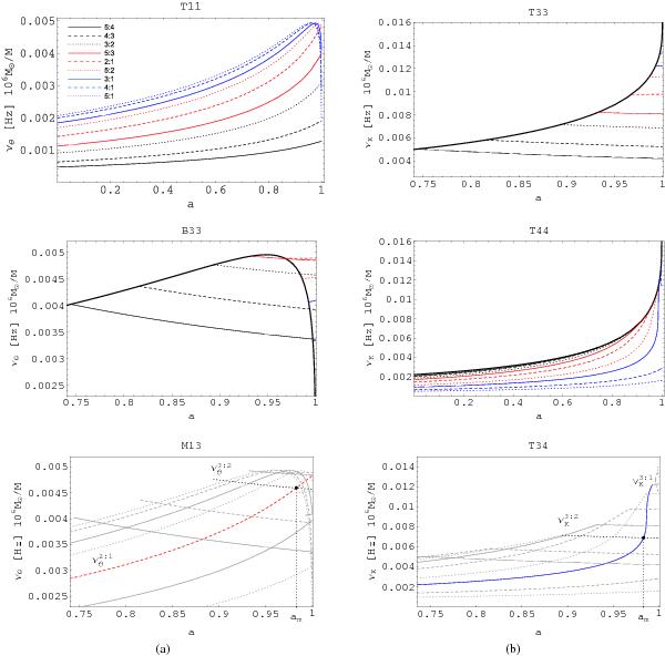
Determination of black hole spin for several cases of doubled resonances. The functions , v ∈  { θ,K } are drawn for the frequency ratios n:m = 5:4 (black solid line), 4:3 (black dashed line), 3:2 (black dotted line), 5:3 (red solid line), 2:1 (red dashed line), 5:2 (red dotted line), 3:1 (blue solid line), 4:1 (blue dashed line), 5:1 (blue dotted line). Black thick line in T33, T44, and B33 represents νv = νv(a,xms), which denotes the frequency on the marginally stable orbit. Here we show how to determine the “magic” spin am = 0.983 in the case of a) “mixed identity” M13 with νθ:νr = 2:1 and νK:νθ = 3:2 giving the triple frequency set and b) “top identity” T34 with νK:νθ = 3:2 and giving the triple frequency set .

Current usage metrics show cumulative count of Article Views (full-text article views including HTML views, PDF and ePub downloads, according to the available data) and Abstracts Views on Vision4Press platform.

Data correspond to usage on the plateform after 2015. The current usage metrics is available 48-96 hours after online publication and is updated daily on week days.

Initial download of the metrics may take a while.