Free Access

Fig. 5

thumbnail

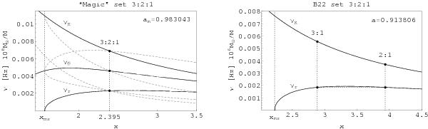
Left: case of a “magic” spin, where the strongest resonances could occur at the same radius. For completeness we present the relevant simple combinational frequencies νθ − νr, νθ + νr, νK − νθ, νK − νr (grey dashed lines). The “magic” spin am = 0.983 represents the only case where the combinational and direct orbital frequencies coincide at the shared resonance radius. Right: another example of the characteristic frequency ratio set 3:2:1 that appears at different radii.

This figure is made of several images, please see below:

Current usage metrics show cumulative count of Article Views (full-text article views including HTML views, PDF and ePub downloads, according to the available data) and Abstracts Views on Vision4Press platform.

Data correspond to usage on the plateform after 2015. The current usage metrics is available 48-96 hours after online publication and is updated daily on week days.

Initial download of the metrics may take a while.