Free Access

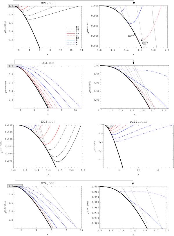
Fig. C.1

thumbnail

Spin resonance functions aνU/νL(x,p) for the double combinational resonances of the types DC1 – DC4, DC11 and the frequency ratios n:m = 5:4 (black solid line), 4:3 (black dashed line), 3:2 (black dotted line), 5:3 (red solid line), 2:1 (red dashed line), 5:2 (red dotted line), 3:1 (blue solid line), 4:1 (blue dashed line), 5:1 (blue dotted line). The grey lines represent the solutions of the same resonance equations that are relevant for the corresponding types of resonances (DC5−DC8, DC12). The related solutions are separated by the line of marginally stable orbits ams(x) (black thick line), they have a common stability point .

Current usage metrics show cumulative count of Article Views (full-text article views including HTML views, PDF and ePub downloads, according to the available data) and Abstracts Views on Vision4Press platform.

Data correspond to usage on the plateform after 2015. The current usage metrics is available 48-96 hours after online publication and is updated daily on week days.

Initial download of the metrics may take a while.